우주여행이 가능한가? 이 블로그에서는 물리학적 관점에서 우주여행의 가능성과 도전을 탐구합니다. 추진 시스템, 중력, 시간 지연 등 물리학의 핵심 개념을 통해 우주여행의 미래를 살펴봅니다.
서론
우주여행은 오랫동안 인류의 꿈이자 도전 과제로 여겨져 왔습니다. 과학 소설에서 시작된 이 꿈은 이제 과학적 연구와 기술 발전을 통해 현실로 다가오고 있습니다. 이 블로그에서는 우주여행의 가능성과 도전에 대해 물리학적 관점에서 심도 있게 탐구해보겠습니다.
1. 우주여행의 추진 시스템
우주여행의 가능성을 논할 때 가장 중요한 요소 중 하나는 추진 시스템입니다. 현재 사용되고 있는 다양한 추진 시스템과 미래에 개발될 가능성이 있는 시스템을 물리학적 관점에서 살펴보겠습니다.
1.1 화학 로켓
현재 대부분의 우주 탐사와 여행은 화학 로켓을 통해 이루어집니다. 화학 로켓은 연료와 산화제를 연소시켜 발생하는 고온 고압의 가스를 이용해 추진력을 얻습니다. 이는 뉴턴의 운동 제3법칙인 "작용과 반작용의 법칙"에 의해 설명됩니다. 화학 로켓의 주요 장점은 높은 추력을 제공할 수 있다는 점입니다. 이는 지구의 중력을 벗어나기 위해 필요한 큰 속도를 얻는 데 필수적입니다.
그러나 화학 로켓의 에너지 밀도는 한계가 있습니다. 연료를 연소시킬 때 발생하는 에너지의 양은 연료의 화학적 구성에 의해 제한되며, 이는 장거리 우주여행에 필요한 충분한 에너지를 제공하기 어렵게 만듭니다. 또한, 화학 로켓은 대량의 연료를 필요로 하며, 이는 발사 비용과 우주선의 무게를 크게 증가시킵니다.
1.2 이온 추진기
이온 추진기는 전기를 이용해 추진력을 얻는 방식으로, 화학 로켓에 비해 매우 높은 효율을 자랑합니다. 이온 추진기는 전기를 사용해 연료를 이온화시키고, 이를 전기장에 의해 가속시켜 추진력을 얻습니다. 이는 더 적은 연료로 더 오랜 시간 동안 추진할 수 있어, 장거리 우주여행에 적합한 기술로 평가받고 있습니다.
이온 추진기의 원리는 전자의 충돌에 의해 연료 입자가 이온화되고, 이 이온들이 전기장에 의해 가속되는 것입니다. 이러한 방식은 높은 비추력(단위 질량 당 발생하는 추진력)을 제공하여 연료 효율이 매우 높습니다. 예를 들어, NASA의 던(Dawn) 탐사선은 이온 추진기를 사용하여 소행성대 탐사를 성공적으로 수행하였습니다.
그러나 이온 추진기는 낮은 추력 때문에 초기 가속 단계에서 사용하기 어렵다는 단점이 있습니다. 이는 지구의 중력을 벗어나기 위한 초기 발사 단계에서는 화학 로켓을 사용하고, 우주 공간에서의 긴 여행 중에는 이온 추진기를 사용하는 방식으로 보완할 수 있습니다.
1.3 핵 추진
핵 추진은 원자력 에너지를 이용해 추진력을 얻는 방식으로, 두 가지 주요 형태가 있습니다: 핵 열 추진(Nuclear Thermal Propulsion)과 핵 전기 추진(Nuclear Electric Propulsion). 핵 열 추진은 원자로에서 발생하는 열을 사용해 추진제를 가열하여 가속하는 방식이고, 핵 전기 추진은 원자로에서 생성된 전기를 이온 추진기와 같은 전기 추진 시스템에 사용하는 방식입니다.
핵 열 추진은 원자로에서 발생한 열을 사용해 수소와 같은 가스를 가열하여 고온 고압의 상태로 만든 후 이를 노즐을 통해 분사하여 추진력을 얻습니다. 이는 매우 높은 추력을 제공할 수 있으며, 장거리 우주여행에 필요한 에너지를 충분히 공급할 수 있습니다. 예를 들어, NERVA(Nuclear Engine for Rocket Vehicle Application) 프로그램은 핵 열 추진의 가능성을 실험적으로 검증한 바 있습니다.
핵 전기 추진은 원자로에서 생성된 전기를 이용해 전기 추진기를 작동시키는 방식입니다. 이는 이온 추진기와 결합하여 높은 비추력과 긴 작동 시간을 제공할 수 있습니다. 핵 전기 추진의 장점은 우주 공간에서 지속적으로 높은 효율의 추진력을 제공할 수 있다는 점입니다. 이는 장기간의 우주여행에서 매우 유용할 수 있습니다.
그러나 핵 추진 시스템은 방사능 안전 문제와 기술적 복잡성이 큰 도전 과제입니다. 원자로의 안전한 운용과 방사능 방출을 최소화하는 기술이 필수적이며, 이는 현재 기술 수준에서 많은 연구와 개발이 필요합니다.
1.4 빔 추진
빔 추진은 레이저나 마이크로파 빔을 이용해 우주선을 가속하는 방식입니다. 이 방식은 지상 또는 궤도에 위치한 강력한 레이저나 마이크로파 송신기가 우주선의 반사판에 에너지를 전달하여 추진력을 얻습니다. 이는 우주선 자체의 연료를 줄일 수 있어, 장거리 우주여행에 적합한 기술로 평가받고 있습니다.
빔 추진의 장점은 우주선이 자체적으로 연료를 탑재하지 않아도 된다는 점입니다. 이는 우주선의 무게를 크게 줄이고, 연료의 한계로 인한 제약을 극복할 수 있습니다. 예를 들어, 프로젝트 스타샷(Project Starshot)은 레이저 빔 추진을 이용해 소형 탐사선을 알파 센타우리로 보내는 것을 목표로 하고 있습니다.
그러나 빔 추진 시스템은 강력한 에너지원과 정확한 에너지 전달 기술이 필요하며, 이는 현재 기술 수준에서 많은 연구와 개발이 요구됩니다. 또한, 빔 추진 시스템은 긴 여행 동안 지속적으로 에너지를 공급해야 하는 도전 과제를 안고 있습니다.
1.5 태양 돛
태양 돛(Solar Sail)은 태양광의 압력을 이용해 우주선을 가속하는 방식입니다. 이는 매우 가벼운 반사막을 사용해 태양광을 반사하여 추진력을 얻습니다. 태양 돛은 연료 없이도 지속적인 추진력을 제공할 수 있어, 장거리 우주여행에 매우 효율적인 기술로 평가받고 있습니다.
태양 돛의 원리는 태양광이 반사막에 충돌하여 반사될 때 발생하는 작은 압력을 이용하는 것입니다. 이는 매우 작은 추진력을 제공하지만, 우주 공간에서는 지속적으로 가속할 수 있어 높은 속도에 도달할 수 있습니다. 예를 들어, 일본의 IKAROS 탐사선은 태양 돛을 사용하여 금성 탐사에 성공한 바 있습니다.
태양 돛의 장점은 연료가 필요 없다는 점이며, 이는 장거리 우주여행에서 큰 이점을 제공합니다. 그러나 태양 돛은 초기 가속이 느리고, 태양에서 멀어질수록 추진력이 감소하는 단점이 있습니다. 이를 보완하기 위해서는 레이저 돛과 같은 하이브리드 방식이 연구되고 있습니다.
1.6 반물질 추진
반물질 추진은 물질과 반물질이 만나 소멸할 때 발생하는 에너지를 이용한 방식으로, 매우 높은 에너지 밀도를 자랑합니다. 반물질 추진은 현재 알려진 어떤 추진 방식보다 더 높은 성능을 제공할 수 있는 잠재력을 가지고 있습니다. 반물질이 물질과 소멸할 때 발생하는 에너지는 E=mc^2 공식을 통해 계산할 수 있으며, 이는 기존의 화학 추진보다 수백 배 높은 에너지 밀도를 제공합니다.
반물질 추진의 원리는 반물질 입자가 물질 입자와 충돌하여 소멸할 때 발생하는 에너지를 이용하는 것입니다. 이 에너지는 고온 고압의 가스를 생성하여 추진력으로 변환됩니다. 반물질 추진의 장점은 매우 높은 에너지 밀도로 인해 장거리 우주여행에 필요한 에너지를 충분히 제공할 수 있다는 점입니다.
그러나 반물질 추진은 현재 기술적으로 많은 도전 과제를 안고 있습니다. 반물질을 생산하고 저장하는 기술이 아직 초기 단계에 있으며, 반물질의 극도로 높은 반응성을 안전하게 관리하는 것도 큰 문제입니다. 반물질 추진은 우주여행의 궁극적인 목표로 여겨지며, 관련 연구가 계속되고 있습니다.
2. 중력과 우주여행
중력은 우주여행에서 중요한 역할을 합니다. 우주선이 지구를 벗어나기 위해서는 중력의 영향을 극복해야 하며, 우주 공간에서의 움직임은 중력의 영향을 받습니다.
2.1 지구 탈출 속도
우주여행의 첫 번째 도전은 지구의 중력을 벗어나는 것입니다. 이를 위해서는 지구 탈출 속도(약 11.2 km/s)에 도달해야 합니다. 이는 뉴턴의 운동 법칙과 만유인력 법칙에 의해 설명됩니다. 탈출 속도를 달성하기 위해서는 강력한 추진 시스템과 대량의 연료가 필요합니다.
지구 탈출 속도는 우주선이 지구의 중력장을 벗어나기 위해 필요한 최소 속도입니다. 이는 중력 에너지와 운동 에너지의 균형을 통해 계산됩니다. 우주선이 이 속도에 도달하면, 추가적인 추진 없이도 지구의 중력을 벗어날 수 있습니다.
2.2 행성 간 중력 도움
장거리 우주여행에서는 중력 도움(Gravitational Assist) 기법이 사용됩니다. 이는 우주선이 행성의 중력을 이용해 속도를 증가시키는 방법으로, 연료 소비를 최소화하면서 우주선을 가속할 수 있습니다. 중력 도움은 케플러의 행성 운동 법칙과 만유인력 법칙을 기반으로 하며, 우주 탐사에서 매우 중요한 역할을 합니다.
중력 도움 기법은 우주선이 행성의 중력장에 진입하여 궤도를 변경하고, 행성의 운동 에너지를 일부 얻어 속도를 증가시키는 방식입니다. 예를 들어, 보이저 탐사선은 목성, 토성, 천왕성, 해왕성을 지나면서 중력 도움을 받아 속도를 증가시켰습니다. 이는 연료를 아끼고 탐사 범위를 넓히는 데 큰 도움이 되었습니다.
2.3 미세 중력 환경
우주여행 동안 우주선 내부는 미세 중력 환경에 놓이게 됩니다. 이는 인간의 건강에 다양한 영향을 미칠 수 있으며, 장기간의 미세 중력 노출은 근육 약화, 골밀도 감소, 체액 재분포 등의 문제를 초래할 수 있습니다. 이러한 문제를 해결하기 위해 인공 중력 생성 기술이나 주기적인 운동이 필요합니다.
미세 중력 환경은 근육과 뼈에 가해지는 하중이 감소하여, 장기적으로 근육과 골밀도가 감소하는 문제를 야기합니다. 이는 우주 비행사들이 지구로 돌아왔을 때 심각한 건강 문제를 초래할 수 있습니다. 이를 해결하기 위해서는 인공 중력을 생성하거나, 운동 프로그램을 통해 근육과 뼈를 유지하는 것이 중요합니다.
인공 중력은 회전하는 우주선을 통해 생성될 수 있습니다. 원심력에 의해 가상의 중력이 발생하며, 이는 우주 비행사들이 지구에서와 유사한 환경에서 생활할 수 있도록 도와줍니다. 또한, 운동 프로그램을 통해 근육과 뼈를 유지하는 것도 중요한 방법입니다.
2.4 우주 방사선
우주 방사선은 우주여행에서 중요한 도전 과제 중 하나입니다. 지구의 대기와 자기장은 우주 방사선을 차단하지만, 우주 공간에서는 이러한 보호막이 없습니다. 이는 우주 비행사들의 건강에 심각한 영향을 미칠 수 있습니다.
우주 방사선은 태양에서 방출되는 태양풍과 우주 공간에서 날아다니는 고에너지 입자로 구성되어 있습니다. 이는 DNA 손상, 암 발생, 신경계 손상 등의 건강 문제를 일으킬 수 있습니다. 이를 해결하기 위해서는 방사선 차폐 기술과 방사선 노출을 최소화하는 방법이 필요합니다.
방사선 차폐는 우주선의 구조를 강화하여 방사선을 차단하는 방법입니다. 또한, 우주 비행사들이 방사선이 강한 지역을 피하고, 방사선 노출을 최소화하는 방법도 연구되고 있습니다.
3. 시간 지연과 상대성 이론
우주여행을 계획할 때, 시간의 흐름은 매우 중요한 요소 중 하나입니다. 특히 아인슈타인의 특수 상대성 이론과 일반 상대성 이론은 우주여행에서의 시간 개념을 재정립하는 데 큰 역할을 합니다. 시간 지연과 같은 현상은 우주여행의 경험과 결과에 심대한 영향을 미칠 수 있습니다.
3.1 시간 지연 효과
아인슈타인의 특수 상대성 이론에 따르면, 높은 속도로 이동하는 물체에서는 시간 지연(Time Dilation) 효과가 발생합니다. 이는 우주여행에서 중요한 고려 사항으로, 빛의 속도에 가까운 속도로 이동할 경우, 우주선 내의 시간은 외부 시간보다 느리게 흐르게 됩니다. 이는 장거리 우주여행에서 승무원들이 겪게 될 시간의 차이를 설명합니다.
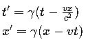
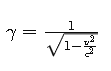
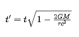
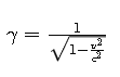
시간 지연 효과는 로렌츠 변환(Lorentz Transformation)에 의해 수학적으로 설명됩니다. 로렌츠 변환은 움직이는 좌표계에서 시간과 공간이 어떻게 변환되는지를 나타내며, 이는 다음과 같은 방정식으로 표현됩니다:
여기서 𝛾는 로렌츠 인자(Lorentz Factor)로, 다음과 같이 정의됩니다:
𝑡 와 𝑥는 정지 좌표계에서의 시간과 위치, t' 와 x' 는 움직이는 좌표계에서의 시간과 위치를 나타냅니다.
𝑣는 두 좌표계 사이의 상대 속도, 𝑐는 빛의 속도입니다.
시간 지연 효과는 우주선이 빛의 속도에 가까운 속도로 이동할 때, 우주선 내부의 시간이 외부에 비해 느리게 흐르는 현상을 설명합니다. 이는 장거리 우주여행에서 중요한 요소로, 예를 들어, 우주선이 빛의 속도의 90%로 이동할 경우, 우주선 내에서의 1년은 지구에서의 약 2.3년에 해당합니다.
3.2 쌍둥이 역설
쌍둥이 역설(Twin Paradox)은 특수 상대성 이론의 대표적인 예시로, 빠르게 이동하는 쌍둥이와 지구에 남아 있는 쌍둥이의 시간 경과가 다르게 나타나는 현상을 설명합니다. 이는 장거리 우주여행에서 현실적인 문제가 될 수 있으며, 우주선의 높은 속도와 긴 여행 시간이 승무원의 시간 감각에 큰 영향을 미칠 수 있음을 시사합니다.
쌍둥이 역설은 다음과 같은 시나리오를 가정합니다. 한 쌍둥이는 지구에 남아있고, 다른 쌍둥이는 빛의 속도에 가까운 속도로 이동하는 우주선을 타고 먼 우주를 여행합니다. 여행을 마치고 돌아온 쌍둥이는 지구에 남아있는 쌍둥이보다 훨씬 젊게 됩니다. 이는 특수 상대성 이론의 시간 지연 효과에 의해 설명됩니다.
쌍둥이 역설의 수학적 설명은 로렌츠 인자를 통해 이루어집니다. 예를 들어, 우주선을 타고 여행한 쌍둥이가 빛의 속도의 99%로 10년간 여행을 했다고 가정하면, 지구에 있는 쌍둥이에게는 약 70년이 흘렀지만, 우주선을 타고 있는 쌍둥이에게는 약 10년만 흘렀을 것입니다.
이 역설은 실제로 실험적으로 확인된 바 있습니다. 예를 들어, 높은 속도로 이동하는 입자들이 시간 지연 효과를 경험하는 것을 입증하는 여러 실험들이 수행되었습니다. 이러한 시간 지연 효과는 우주여행에서의 시간 관리와 승무원의 건강 모니터링 등에 중요한 고려 사항이 될 것입니다.
3.3 일반 상대성 이론과 중력 시간 지연
일반 상대성 이론에 따르면, 중력장이 강한 곳에서는 시간이 더 천천히 흐릅니다. 이는 중력 시간 지연(Gravity Time Dilation)이라고 불리며, 이는 중력장이 강한 행성이나 블랙홀 근처를 탐사할 때 중요한 고려 사항입니다.
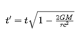
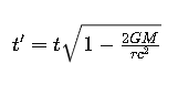
중력 시간 지연은 일반 상대성 이론의 핵심 개념 중 하나로, 이는 중력이 시간의 흐름에 영향을 미친다는 사실을 설명합니다. 중력이 강한 지역에서는 시계가 더 느리게 작동합니다. 이는 슈바르츠실트 해(Schwarzschild Solution)를 통해 수학적으로 설명될 수 있습니다:
여기서 𝑡는 원래 좌표계에서의 시간, t' 는 중력장이 강한 좌표계에서의 시간, 𝐺는 중력 상수, 𝑀은 중심 질량, 𝑟는 중심으로부터의 거리, 𝑐는 빛의 속도입니다.
이 방정식에 따르면, 블랙홀과 같은 강한 중력장 근처에서는 시간이 거의 멈추는 것처럼 느껴질 수 있습니다. 이는 우주여행에서의 시간 관리에 중요한 영향을 미칩니다. 예를 들어, 블랙홀 근처를 탐사하는 우주선은 외부 관찰자에 비해 시간이 느리게 흐를 것입니다.
3.4 시간 지연의 실제 응용
시간 지연은 이론적으로만 중요한 것이 아니라 실제 우주 탐사에서도 중요한 역할을 합니다. 예를 들어, GPS 위성은 상대성 이론의 시간 지연 효과를 보정하지 않으면 정확한 위치 정보를 제공할 수 없습니다. 이는 지구의 중력장이 위성의 궤도에 비해 강하기 때문에 발생하는 중력 시간 지연과, 위성이 높은 속도로 이동하기 때문에 발생하는 특수 상대성 이론의 시간 지연을 모두 고려해야 합니다.
GPS 시스템은 지구 주변의 궤도를 도는 여러 위성들로 구성되며, 이 위성들은 매우 정밀한 원자 시계를 가지고 있습니다. 그러나 위성들은 지구의 중력장 밖에서 빠른 속도로 이동하고 있기 때문에, 상대성 이론에 의해 시간 지연이 발생합니다. 이는 GPS 신호가 지구로 도달할 때까지의 시간을 정확히 계산해야 하는데, 시간 지연 효과를 고려하지 않으면 위치 정보에 오차가 발생하게 됩니다.
이를 보정하기 위해 GPS 위성의 시계는 지구의 시계와 동기화되며, 상대성 이론에 따른 시간 지연을 반영한 알고리즘이 사용됩니다. 이와 같은 시간 지연 보정은 우주 탐사에서 정밀한 시간 관리를 위해 필수적입니다.
3.5 우주여행에서의 시간 관리
우주여행에서 시간 관리의 중요성은 단순히 시간 지연 효과를 이해하는 데 그치지 않습니다. 장거리 우주여행에서의 승무원 건강, 임무 일정, 통신 등 다양한 측면에서 시간 관리는 중요한 역할을 합니다.
승무원 건강:
장기간의 우주여행 동안 승무원들의 건강을 유지하는 것은 매우 중요합니다. 시간 지연 효과를 이해하고, 이를 기반으로 승무원들의 일정을 조정하는 것은 건강을 유지하는 데 도움이 됩니다. 예를 들어, 승무원들이 규칙적인 운동과 적절한 휴식을 취할 수 있도록 일정이 조정되어야 합니다.
임무 일정:
우주여행의 모든 단계는 정확한 시간 관리에 따라 계획되고 실행되어야 합니다. 이는 임무 성공에 필수적입니다. 시간 지연 효과를 고려하여 통신 지연, 임무 수행 시간 등을 조정해야 하며, 이는 전반적인 임무 일정에 큰 영향을 미칠 수 있습니다.
통신:
우주여행 동안 지구와의 통신은 중요한 역할을 합니다. 시간 지연 효과는 통신 지연을 초래할 수 있으며, 이는 임무 수행에 중요한 영향을 미칠 수 있습니다. 이를 최소화하기 위해 통신 전략이 적절히 조정되어야 합니다.
3.6 미래의 시간 관리 기술
미래의 우주여행에서는 시간 관리 기술이 더욱 발전할 것입니다. 예를 들어, 양자 컴퓨터는 매우 정밀한 시간 계산을 가능하게 하여, 상대성 이론에 따른 시간 지연을 정확히 예측하고 보정할 수 있습니다. 또한, 인공지능(AI)은 복잡한 시간 관리 문제를 자동으로 해결할 수 있는 능력을 갖추게 될 것입니다.
양자 컴퓨터:
양자 컴퓨터는 기존의 컴퓨터보다 훨씬 더 높은 계산 능력을 제공합니다. 이는 상대성 이론에 따른 시간 지연을 정확히 계산하고 예측하는 데 큰 도움이 됩니다. 양자 컴퓨터를 이용한 시뮬레이션은 복잡한 우주여행 경로와 시간 지연 효과를 정확하게 예측할 수 있습니다.
인공지능:
인공지능은 복잡한 데이터 분석과 예측을 통해 시간 관리를 자동화할 수 있습니다. 인공지능은 우주선의 상태, 승무원의 건강, 통신 상황 등을 실시간으로 모니터링하고, 이를 기반으로 최적의 시간 관리 전략을 제안할 수 있습니다. 이는 우주여행의 효율성과 안전성을 크게 향상시킬 것입니다.
4. 미래의 우주여행 기술
우주여행의 가능성을 현실로 만들기 위해서는 현재의 기술을 뛰어넘는 혁신적인 접근이 필요합니다. 물리학적 관점에서 미래의 우주여행 기술은 태양광 추진, 반물질 추진, 그리고 워프 드라이브와 같은 개념을 포함합니다. 이러한 기술들은 우주여행의 효율성과 가능성을 크게 향상시킬 수 있습니다.
4.1 태양광 추진
태양광 추진(Solar Sail)은 태양광의 압력을 이용해 우주선을 가속하는 방식입니다. 이는 매우 가벼운 반사막을 사용해 태양광을 반사하여 추진력을 얻습니다. 태양광 추진은 연료 없이도 지속적인 추진력을 제공할 수 있어, 장거리 우주여행에 매우 효율적인 기술로 평가받고 있습니다.
원리와 작동 방식:
태양광 추진의 원리는 매우 간단합니다. 태양으로부터 오는 빛은 입자의 성질을 가지고 있으며, 이 입자들이 반사막에 충돌하여 반사될 때 작은 압력을 가합니다. 이 압력은 매우 작지만, 우주 공간에서는 지속적으로 가속할 수 있기 때문에, 시간이 지남에 따라 상당한 속도에 도달할 수 있습니다. 태양광 추진은 연료가 필요 없기 때문에 매우 경제적이며, 긴 여행에서도 지속적인 추진력을 제공할 수 있습니다.
현재 연구와 적용 사례:
일본의 IKAROS(Interplanetary Kite-craft Accelerated by Radiation Of the Sun) 탐사선은 태양광 추진을 사용하여 금성 탐사에 성공한 사례입니다. IKAROS는 2010년에 발사되어 태양광 추진을 이용한 첫 성공적인 우주 탐사 임무를 수행했습니다. 이 탐사선은 약 14m의 반사막을 펼쳐 태양광을 반사하여 추진력을 얻었으며, 이는 미래의 장거리 우주여행에 태양광 추진의 가능성을 보여준 중요한 사례입니다.
미래 전망:
태양광 추진 기술은 앞으로도 계속 발전할 것으로 기대됩니다. 더 가벼운 소재와 더 효율적인 반사막이 개발되면, 태양광 추진의 효율성과 속도는 더욱 향상될 것입니다. 또한, 태양광 추진은 지구 궤도를 벗어나 태양계 내의 행성과 소행성을 탐사하는 데 매우 유용한 기술이 될 것입니다. 이러한 기술의 발전은 인류의 우주 탐사 능력을 크게 확장시킬 것입니다.
4.2 반물질 추진
반물질 추진은 물질과 반물질이 만나 소멸할 때 발생하는 에너지를 이용한 방식으로, 매우 높은 에너지 밀도를 자랑합니다. 반물질 추진은 현재 알려진 어떤 추진 방식보다 더 높은 성능을 제공할 수 있는 잠재력을 가지고 있습니다. 반물질이 물질과 소멸할 때 발생하는 에너지는 E=mc^2 공식을 통해 계산할 수 있으며, 이는 기존의 화학 추진보다 수백 배 높은 에너지 밀도를 제공합니다.
반물질의 특성과 생성:
반물질은 일반 물질과 동일한 질량을 가지지만, 반대의 전하를 가지는 입자로 구성됩니다. 예를 들어, 양전자는 전자의 반물질로, 양성자는 반양성자의 반물질입니다. 반물질은 고에너지 입자 가속기에서 생성할 수 있지만, 매우 고가이고 소량만 생성할 수 있습니다. 반물질 추진의 원리는 반물질이 물질과 만나 소멸할 때 발생하는 엄청난 에너지를 이용하는 것입니다. 이 에너지는 기존의 화학 추진이나 이온 추진보다 훨씬 높은 효율을 제공할 수 있습니다.
기술적 도전과 연구:
반물질 추진의 가장 큰 도전 과제는 반물질의 생성과 저장입니다. 반물질은 매우 높은 에너지를 가지고 있어, 안정적으로 저장하기가 매우 어렵습니다. 현재 연구는 반물질을 안전하게 저장하고, 필요할 때 효율적으로 사용하기 위한 방법을 찾는 데 집중하고 있습니다. 이를 위해 초전도체와 같은 기술이 활용되고 있으며, 반물질을 저온에서 안정적으로 저장할 수 있는 방법이 연구되고 있습니다.
미래의 가능성:
반물질 추진이 성공적으로 개발된다면, 이는 우주여행의 판도를 완전히 바꿀 수 있습니다. 반물질 추진은 현재 기술로는 불가능한 거리를 빠르고 효율적으로 여행할 수 있게 해줍니다. 예를 들어, 반물질 추진을 사용하면 화성까지의 여행 시간이 몇 개월에서 몇 주로 단축될 수 있으며, 더 먼 거리에 있는 외계 행성까지도 탐사할 수 있는 가능성이 열립니다. 이러한 기술 발전은 인류의 우주 탐사 능력을 혁신적으로 변화시킬 것입니다.
4.3 워프 드라이브
워프 드라이브(Warp Drive)는 현재 과학 소설에서 주로 다루어지는 개념으로, 공간을 왜곡하여 빛의 속도보다 빠르게 이동할 수 있는 방법입니다. 이는 아인슈타인의 일반 상대성 이론에 기반한 이론적 개념으로, 실제 구현 가능성은 아직 불확실합니다. 그러나 이 개념은 우주여행의 한계를 뛰어넘는 혁신적인 가능성을 제시하며, 과학자들의 흥미를 끌고 있습니다.
원리와 이론적 배경:
워프 드라이브의 개념은 물체가 빛의 속도를 초과하여 이동할 수 없다는 특수 상대성 이론의 제한을 피하기 위해, 물체 주변의 공간을 왜곡하는 것입니다. 이는 물체 자체가 이동하는 것이 아니라, 물체가 있는 공간을 이동시키는 방식으로, 이론적으로는 빛의 속도를 초과하는 이동이 가능해집니다. 워프 드라이브의 대표적인 이론적 모델은 알쿠비에레 드라이브(Alcubierre Drive)로, 이는 고정된 버블 내에서 물체를 이동시키는 방식으로 빛의 속도 제한을 우회합니다.
기술적 도전:
워프 드라이브를 실제로 구현하는 데는 수많은 기술적 도전이 존재합니다. 우선, 공간을 왜곡하기 위해 필요한 에너지의 양이 엄청나게 크다는 점입니다. 알쿠비에레 드라이브 모델에서는 음의 에너지가 필요하며, 이는 현재의 물리학으로는 생성할 수 없는 형태의 에너지입니다. 또한, 공간을 왜곡할 때 발생할 수 있는 중력파와 같은 물리적 현상이 우주선과 승무원에게 미치는 영향을 예측하고, 이를 제어하는 것도 큰 도전 과제입니다.
미래의 연구 방향:
워프 드라이브의 개념은 여전히 이론적 연구의 단계에 머물러 있지만, 이를 실제로 구현하기 위한 연구가 계속되고 있습니다. 과학자들은 고에너지 물리학, 양자역학, 그리고 일반 상대성 이론을 결합하여, 공간 왜곡을 실현할 수 있는 방법을 탐구하고 있습니다. 이러한 연구는 현재의 물리학적 한계를 극복하고, 새로운 차원의 우주여행을 가능하게 할 수 있는 잠재력을 가지고 있습니다.
4.4 결합 추진 시스템
미래의 우주여행 기술은 단일한 추진 시스템이 아니라, 여러 가지 기술을 결합한 하이브리드 시스템으로 발전할 가능성이 큽니다. 이는 각 기술의 장점을 최대한 활용하여, 우주여행의 효율성과 안전성을 높일 수 있는 방법입니다.
하이브리드 시스템의 예:
예를 들어, 초기 발사 단계에서는 화학 로켓을 사용하여 지구의 중력을 벗어나고, 이후 우주 공간에서는 이온 추진기나 태양광 추진을 사용하는 방식입니다. 또한, 행성 간 이동 시에는 중력 도움을 활용하고, 최종 목적지에 도착할 때는 반물질 추진이나 워프 드라이브를 사용하는 방식입니다. 이러한 하이브리드 시스템은 각 기술의 단점을 보완하고, 우주여행의 전반적인 효율성을 극대화할 수 있습니다.
연구와 개발 방향:
하이브리드 추진 시스템의 개발은 다양한 기술의 통합과 최적화에 달려 있습니다. 이를 위해서는 각 기술의 특성과 한계를 정확히 이해하고, 이를 통합할 수 있는 시스템을 설계하는 것이 중요합니다. 또한, 각 기술의 상호작용을 분석하고, 이를 최적화할 수 있는 알고리즘과 제어 시스템이 필요합니다. 이러한 연구와 개발은 미래의 우주여행을 더욱 안전하고 효율적으로 만들어 줄 것입니다.
잠재적 이점:
하이브리드 추진 시스템은 단일한 기술에 의존하지 않기 때문에, 더 높은 신뢰성과 유연성을 제공합니다. 예를 들어, 한 가지 추진 시스템에 문제가 발생하더라도 다른 시스템을 사용하여 임무를 지속할 수 있습니다. 이는 우주여행의 안전성을 크게 향상시킬 수 있습니다. 또한, 다양한 상황에 적응할 수 있는 능력을 제공하여, 더 많은 목적지와 탐사 기회를 제공할 수 있습니다
결론
미래의 우주여행 기술은 현재의 한계를 뛰어넘는 혁신적인 접근을 통해 가능해질 것입니다. 태양광 추진, 반물질 추진, 워프 드라이브와 같은 새로운 기술들은 우주여행의 효율성과 가능성을 크게 향상시킬 수 있습니다. 또한, 하이브리드 추진 시스템은 각 기술의 장점을 최대한 활용하여, 우주여행을 더욱 안전하고 효율적으로 만들어 줄 것입니다. 이러한 기술의 발전은 인류의 우주 탐사 능력을 혁신적으로 변화시킬 것이며, 우주여행의 꿈을 현실로 만들어줄 것입니다.
함께 읽으면 좋은 글
우주 탐사 로봇의 물리학: 극한 환경에서의 기술
우주 탐사 로봇이 극한 환경에서 어떻게 작동하는지, 물리학이 그 기술 개발에 어떤 기여를 하는지 알아보세요. 우주 탐사의 혁신적인 기술과 물리학의 역할을 탐구합니다. 서론 우주 탐사는
wonder60.com
우주여행과 로켓 과학, 로켓의 원리와 우주 탐사 기술의 최신 동향
우주 탐사 및 로켓 과학에 대한 최신 정보와 기술 동향을 다루는 전문 물리학 블로그입니다. 로켓의 작동 원리부터 우주 탐사의 최신 동향까지 상세하게 다룹니다. 서론: 우주 탐사는 인류에게
wonder60.com
'물리학' 카테고리의 다른 글
| 프랑수아 앙글레르: 힉스 보손 이론의 공동 창시자 (0) | 2024.06.18 |
|---|---|
| 피터 힉스: 힉스 보손과 현대 물리학의 혁명 (0) | 2024.06.17 |
| 재활 로봇의 물리학: 인간 움직임의 복원 (0) | 2024.06.15 |
| 교통 물리학과 시뮬레이션: 자율주행 차량의 교통 상황 예측을 위한 핵심 (0) | 2024.06.05 |
| LLM이 물리학 연구에 미치는 영향 (0) | 2024.06.05 |





